欢迎来到桂林航天工业学院太阳集团见好就收9728!

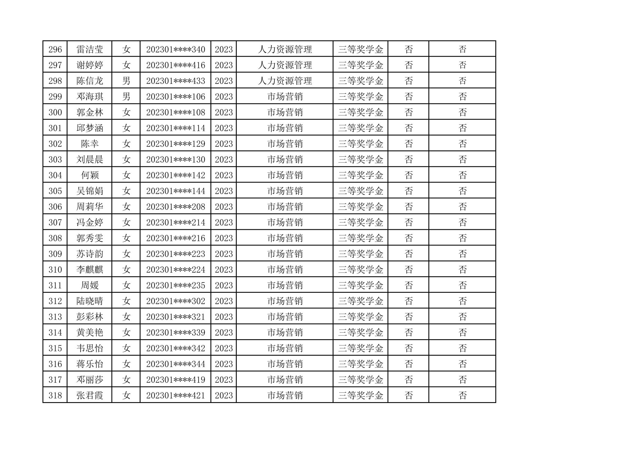
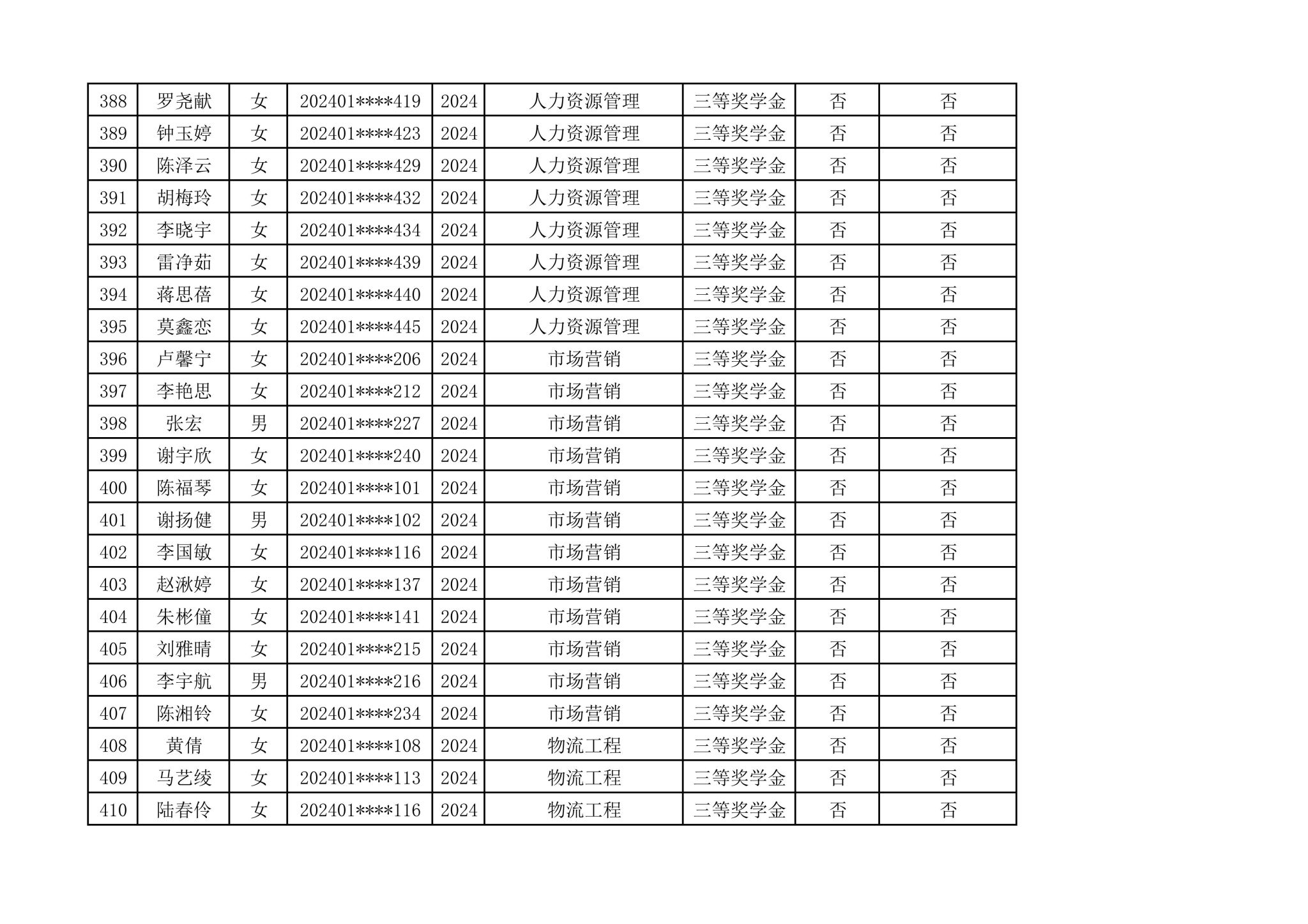
2024-2025年校内学习优秀奖学金太阳集团见好就收9728

2025年09月23日 16:38 jln 点击:[]

上一条:2024-2025年先进班集体太阳集团见好就收9728拟推荐名单公示 下一条:2024-2025学年太阳集团见好就收9728拟推荐参加国家奖学金第一轮评选人选公示

关闭